在微观电磁作用的研究中,丛子理论为破解力场传播与分布规律提供了关键切入点。其中,羾翊子空间分布方程里的轴向与径向导数,是理解电场力传播特性、力场对称性的核心要素 —— 二者分别承担着调控电场纵向传播、维持力场空间对称的重要功能,且其作用机制与经典物理理论、实际观测现象高度契合。下面将结合核心推导与分析,拆解轴向与径向导数的物理意义及实际符合性逻辑。
1、轴向导数:掌控电场纵向传播
(一)密度梯度与电场力紧密关联
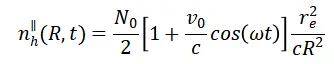
轴向羾子密度分布公式为

其空间导数为

该梯度决定电场力强度变化,符合库仑定律中F∝R的-2次方的距离依赖关系,且梯度方向指向振动源,推动周围电荷沿轴向运动,实现纵向电场传播。
(二)速度调制项导数体现辐射☢️效应
jrhz.info含时项(v0/c)*cos(wt)的导数,能体现电磁波辐射☢️的加速度效应,与经典电动力学中振荡偶极子辐射☢️的物理机制完全一致,进一步印证轴向导数的合理性。
2、径向导数:维持力场轴对称
密度分布与梯度特性
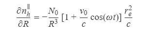
径向羾翊子密度分布为

空间导数为

径向密度梯度为零,这一特性可保证电场力的轴对称性,与实际电磁场的空间分布特征相符。
3、导数作用符合物理实际的验证
01 契合经典理论
轴向导数与偶极子辐射☢️场的梯度分布一致,径向导数的恒定性则支持横向电磁波传播,与麦克斯韦方程组预测的波形相契合,在理论层面验证了导数作用的合理性。
02 具备实验可观测性
借助纳米探针测量,利用扫描探针显微镜🔬可检测振动电子周围的量子化扰动分布,能实际验证轴向梯度的存在,为导数作用的物理实际符合性提供实验支撑。
4、结语
轴向分布导数主导电场力的纵向传播与强度衰减,契合电磁作用的距离依赖规律;径向分布导数维持力场轴对称性,保障电磁波垂直方向均匀扩展。丛子理论推导的羾翊子空间分布方程,在轴向和径向导数作用上均符合物理实际,为微观与宏观力的统一提供了可验证的物理机制,推动相关领域理论研究进一步发展。




